Contact :
infos@sticef.org
|
L’agentivité humaine : un moteur essentiel pour
l’élaboration d’un environnement personnel
d’apprentissage
Annie JÉZÉGOU (Trigone-CIREL, Lille 1)
|
RÉSUMÉ : Aujourd’hui,
la sémantique associée à l’expression
« environnement personnel d’apprentissage » (EPA)
relève principalement du langage courant, lui-même soutenu par des
représentations éparses et évolutives. Elle est encore peu
étayée au plan théorique, ouvrant ainsi la voie à de
multiples interprétations et à des logiques diversifiées
d’action. L’article présente les aspects essentiels
d’un cadre théorique d’analyse et
d’interprétation des EPA, contribuant ainsi à leur apporter
une intelligibilité. Ce cadre théorique est ancré dans la
théorie sociale cognitive de l’agentivité humaine. Au plan
conceptuel, il articule les fondements de cette théorie aux
résultats de travaux sur l’autodirection, la collaboration, les
communautés d’apprentissage en ligne ainsi que sur la
présence en e-learning.
MOTS CLÉS : environnement
personnel d’apprentissage, agentivité, autodirection,
communauté d’apprentissage en ligne, présence en e-learning.
|
Human agentivity: a key driver for the development of a personal learning environment |
|
ABSTRACT : Today,
the semantic associated to the expression "personal learning environment" (PLE)
is primarily linked to ordinary language, itself supported by scattered
patchwork representations. It is still not supported theoretically, paving the
way for multiple interpretations and diverse logics of action. The article
presents the essential features of a theoretical framework for analysis and
interpretation of the EPA, thereby obtaining their intelligibility. This
theoretical framework is grounded in social cognitive theory of human agency.
Conceptually, it articulates the foundations of this theory to the results of
work on self-direction, collaboration, online learning communities as well as
presence in e-learning.
KEYWORDS : personal
learning environment, agency, self-direction, online learning community,
presence in e-learning.
|
Introduction
Toute configuration éducative (formelle,
informelle, non formelle, médiatisée ou non, en
« présentiel », à distance ou hybride, etc.) induit, en corollaire, l’existence d’un environnement
personnel d’apprentissage, du moins lorsque l’on se place du point
de vue du sujet en formation. Le terme « personnel » tend
à générer l’idée d’un espace
privé - situé et socialisé - propre à
l’apprenant. En même temps, le recours explicite et non anodin
à celui « d’apprentissage » incite à
mettre en retrait les aspects socio-techniques et technico-pédagogiques
liés à l’activité des agents éducatifs, pour
orienter la réflexion vers l’activité formatrice - voire
autoformatrice - du sujet dans la construction de ses propres
connaissances. De plus, les représentations sociales sur les
environnements personnels d’apprentissage (EPA) véhiculent
l’idée d’une dimension socio-éducative, notamment
favorisée par l’usage des technologies du Web social. Au regard de
ces quelques éléments et d’autres encore, la
sémantique associée aux EPA n’est pas neutre, bien
qu’elle fasse encore peu l’objet d’une réflexion
conceptuelle.
Le cadre théorique présenté dans cet article vise
à contribuer à une intelligibilité des EPA, en termes
d’analyse et d’interprétation. Il défend le principe
fondamental selon lequel l’agentivité humaine est un moteur
essentiel pour l’élaboration d’un EPA. Au sens large,
l’agentivité est le contrôle exercé par les sujets sur
leur propre fonctionnement, leurs conduites et l’environnement. Le
paradigme dominant de l’agentivité humaine est la théorie
sociale cognitive (Bandura, 1986).
La première partie de l’article montre tout d’abord que
l’agentivité individuelle peut être expliquée par les
principaux mécanismes psychologiques de l’autodirection. Puis elle
précise les trois types d’environnement qui, selon la
théorie sociale cognitive, sont ontologiquement inséparables de
l’expression de l’agentivité. Elle montre à cette
occasion les principales conduites agentiques - donc autodirigées - qui
peuvent se mettre en œuvre dans l’élaboration, par le sujet
lui-même, de son EPA. La seconde partie de l’article est
centrée sur l’agentivité collective. Elle établit des
liens entre ce concept et la notion de communauté d’apprentissage
en ligne. Elle précise plus particulièrement la manière
dont s’exprime l’agentivité collective dans les interactions
sociales collaboratives qui permettent de créer une présence au
sein d’un espace numérique de communication, cela en contexte de e-learning1. Les articulations
opérées entre les concepts explicités dans l’article
constituent les fondements du cadre théorique proposé.
1. Agentivité individuelle et EPA
L’expression « environnement
personnel d’apprentissage » fait écho à la
société postmoderne (Boutinet, 2004) et cognitive (Conseil de l’Europe, 2000).
Cette société se caractérise par un nouveau type de capital
considéré comme le caractère distinctif
d’évolution et de performance non seulement entre les nations, les
organisations professionnelles, mais également entre les sujets sociaux
eux-mêmes. Ce capital cognitif s’appuie sur la cumulation de
savoirs, le contrôle des sources et des facteurs de connaissances, les
réseaux de production de savoirs ou encore sur la capacité
individuelle et collective à apprendre (Azais et al., 2003), (Levy et Jouyet, 2006).
Le développement de ce capital cognitif ou immatériel
s’appuie notamment sur une culture de l’apprenance (Carré, 2005) :
une culture où l’apprentissage a une valeur économique mais
aussi - peut-on l’espérer - est un moyen
d’émancipation et de promotion sociale, de réalisation
personnelle et professionnelle. La culture de l’apprenance contribue
à un renversement de paradigme éducatif qui rompt avec les
modèles éducatifs conventionnels. Ce faisant, elle met en retrait
les notions de dispositifs « fonctionnels » et
« idéels » de formation (Albero, 2010) centrés sur les activités et les représentations des agents
éducatifs en milieu institutionnel pour donner la primauté
à la notion d’environnement. Cette notion ouvre une perspective
davantage écologique en prenant en compte non seulement le vécu et
l’activité effective des sujets en formation, mais aussi leur
agentivité individuelle, cela tout au long de la vie et en
cohérence avec la culture de l’apprenance.
1.1. Autodirection et agentivité individuelle
L’agentivité individuelle sollicite plus spécifiquement
l’activité autoformatrice du sujet (Bandura, 2003).
Cette activité est à l’origine de l’essentiel du
développement des compétences des adultes (Carré et Charbonnier, 2003), (Carré, 2005), (Dumazedier, 2002), (Hrimech, 1996), (Tremblay, 2003).
Au plan de la recherche, on peut déceler aujourd’hui cinq grandes
entrées dans la problématique de
l’autoformation (Jézégou et al., 2011) :
(1) existentielle basée sur l’analyse
phénoménologique de données biographiques ; (2)
socio-historique adossée à l’étude des
itinéraires autodidactes ; (3) technico-pédagogique
centrée sur l’ingénierie des dispositifs
d’autoformation accompagnée ; (4) socio-organisationnelle
ciblée sur les manifestations groupales et sociétales de
l’autoformation et enfin (5) sociocognitive axée sur le rapport
à la formation et le concept d’autodirection des apprentissages.
C’est cette dernière entrée de l’autoformation comme
démarche d’apprentissage autodirigé qui paraît le
mieux répondre aux enjeux de la culture de l’apprenance pour le
développement de la société cognitive (Carré, 2005), (Jézégou et al., 2011).
L’autodirection renvoie à la capacité du sujet
« à prendre l’initiative, avec ou sans l’aide
d’autrui, de déterminer ses besoins de formation, recenser les
ressources humaines et matérielles nécessaires à sa
formation, sélectionner et mettre en œuvre les stratégies
d’apprentissage adéquates et en évaluer les
résultats. » (Knowles, 1975).
Carré ajoute à ce propos que « l’apprenant
autodirigé est à la fois fortement engagé dans son propre
projet (autodétermination), armé de techniques et de ressources
cognitives, matérielles et humaines dont il est capable de réguler
les usages en fonction de ses propres objectifs (autorégulation), le tout
étant fortement soutenu et dynamisé par un sentiment
affirmé de son efficacité personnelle à
apprendre. » (Carré, 2003).

Figure 1. La double dimension de l’autodirection
d’après Carré (2003).
L’autodétermination de l’apprenant est nécessaire
pour qu’il se mobilise personnellement dans une activité de
formation pour atteindre ses propres buts. Elle est également
nécessaire pour qu’il autorégule les différents
aspects liés à la conduite de cette activité. Par ailleurs,
les processus d’autorégulation sont importants pour maintenir,
durant l’activité, une motivation autodéterminée
initiale. Par conséquent, l’autodétermination est à
la fois la source et la conséquence des processus
autorégulés qu’il met en œuvre (Cosnefroy, 2011), (Jézégou, 2013), (Schunk et Zimmerman, 2007).
Nombre de chercheurs s’accordent à dire que certaines dimensions
externes ou environnementales permettent de favoriser
l’autodétermination et l’autorégulation tandis que
d’autres les entravent ; par conséquent, elles peuvent influer
sur les conduites autodirigées (Deci et Ryan, 2007), (Jézégou, 2013) (Laguardia et Ryan, 2000), (Vallerand et al., 2009).
Toutefois, si l’on se réfère à la théorie
sociale cognitive (Bandura, 1986),
ces conduites - au même titre que toutes autres formes de conduite humaine
- ne résultent pas uniquement de l’influence directe exercée
par l’environnement comme le stipule l’approche béhavioriste
et le courant déterministe de la sociologie. Par ailleurs, elles ne
dépendent pas uniquement de caractéristiques personnelles comme
l’affirment par exemple la psychanalyse et le courant dispositionaliste de
la psychologie. Selon cette théorie, les conduites humaines
résultent de l’interaction continue et réciproque avec des
facteurs environnementaux (humains, socio-économiques, culturels,
matériels, etc.) et des caractéristiques personnelles ; ces
caractéristiques pouvant être tout à la fois cognitives,
émotionnelles et biologiques. Les relations entre ces trois grandes
dimensions sont formalisées dans le modèle de causalité
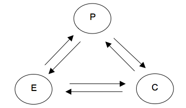
triadique réciproque de Bandura (voir figure 2, ci-après)
où « C » désigne les conduites,
« P » les caractéristiques personnelles et
« E » l’environnement :

Figure 2. Le modèle de causalité
triadique réciproque (Bandura, 1986)
Ces trois dimensions sont en interaction continue et réciproque selon
des importances variables et contingentes à des circonstances, des
activités et des temporalités données. Elles
n’interviennent pas toujours avec la même force et ne sont pas
obligatoirement impliquées en même temps. En revanche,
l’évolution ou la modification de l’une d’entre elles
entraîne une transformation du système d’interactions. Par
conséquent, les jeux d’influence entre les trois dimensions du
système peuvent changer selon les circonstances et varier d’un
sujet à l’autre.
Dans tous les cas, ce dernier devient « agent »
lorsqu’il exerce intentionnellement une influence personnelle sur son
propre fonctionnement, sur le cours de sa vie et de ses actions, sur les autres
et sur les systèmes d’actions collectives ou encore sur
l’espace social et naturel (Bandura, 1999), (Bandura, 2006).
Une telle agentivité se manifeste par des conduites
autodirigées (Jézégou, 2013), (Ponton, 2009), (Ponton et Carr, 2012).
Elles consistent notamment à se fixer un but, à choisir,
s’engager et persévérer dans un ensemble d’actions
requises pour atteindre ce but (autodétermination), à
réguler soi-même ces actions en mobilisant des ressources
cognitives, émotionnelles, biologiques et environnementales
(autorégulation). La caractéristique personnelle centrale et
omniprésente dans l’agentivité est le sentiment
d’efficacité personnelle à exercer un contrôle sur ses
conduites et à les mener à bien, cela en interaction avec
l’environnement et en fonction des résultats souhaités (Bandura, 2003).
Ainsi les trois concepts clés que sont l’autodétermination,
l’autorégulation et le sentiment d’efficacité
personnelle permettent d’expliquer les grands mécanismes
psychologiques de l’agentivité individuelle.
1.2. Agentivité individuelle et types d’environnement
La théorie sociale cognitive distingue trois types
d’environnements inséparables de l’exercice de
l’agentivité
humaine (Bandura, 1999) : (1) les environnements imposés, (2) choisis, (3) construits. Ces
environnements peuvent tout à la fois être des environnements
politiques, socio-économiques, écologiques, technologiques,
professionnels ou encore d’apprentissage.
Le tableau ci-après présente de façon synthétique
l’articulation opérée, notamment lors du travail à
l’origine de cet article, entre ces trois types d’environnement et
la manière dont peut s’exprimer l’agentivité
individuelle. Chacune de ces relations fait ensuite l’objet d’un
développement ou d’une explicitation spécifique.
|
Expression de l’agentivité individuelle |
Environnement |
Autodétermination |
Autorégulation réactive |
Autorégulation proactive |
Imposé |
X |
X |
|
Choisi |
X |
|
X |
Construit |
X |
|
X |
Tableau 1. Types d’environnement et
manière dont peut s’exprimer l’agentivité individuelle
du sujet par le biais de son autodirection
L’environnement « imposé » recouvre des
contextes qui laissent peu de choix au sujet quant à la manière
dont il peut agir en conséquence. En contexte éducatif,
l’environnement imposé correspond à un dispositif
hétéro-structuré exerçant un fort contrôle
pédagogique sur les conditions
d’apprentissage2 ;
l’apprenant n’a pas vraiment de marges de manœuvre pour en
modifier ou en faire évoluer la structure organisationnelle et
technico-pédagogique (Jézégou, 2005).
Comme le précise (Bandura, 1999),
face à ce type de situation, les conduites varient d’un sujet
à l’autre selon la manière dont chacun
l’interprète et y réagit. Elles découlent notamment
de l’évaluation cognitive de l’environnement par le sujet
lui-même, cela en fonction de son propre besoin ou non
d’hétéro-structuration pour agir (Neuberg et Newson, 1993),
de sa perception quant à l’application des règles
imposées, leur adoption, leur violation et l’opposition à
leur égard (Burns et Dietz, 2000) ou encore en fonction des pertes ou des gains générés par
le respect ou non de ces règles compte tenu de ses propres buts (Gagne et Deci, 2005).
En conséquence, deux grandes catégories de conduites peuvent se
présenter (Jézégou, 2013) :
1. certains sujets s’ajustent à cette situation contrainte pour
des raisons qui leur sont spécifiques et selon des modes singuliers de
fonctionnement. Dès lors, ils ne font pas preuve
d’agentivité individuelle. Transposé à la
problématique traitée dans l’article, ce cas de figure se
traduit alors par un environnement personnel d’apprentissage limité
au contexte éducatif institué, en termes de
périmètre et de centration ;
2. d’autres compensent une liberté limitée d’action
en contournant les contraintes qui leur sont imposées. A contrario des
précédents, ils font preuve d’agentivité
individuelle.
Dans ce second cas de figure et au regard de l’autodirection, les
mécanismes psychologiques qui soutiennent l’expression d’une
telle agentivité individuelle relève à la fois d’une
autodétermination (engagement dans leur propre projet) et d’une
autorégulation réactive. Selon (Zimmerman, 2007),
cette forme d’autorégulation permet de dépasser les
obstacles qui entravent l’atteinte du but poursuivi par la mise en
œuvre d’actions spécifiques dont le sujet en contrôle la
conduite et en évalue les effets. Ce phénomène a notamment
été observé chez des apprenants adultes inscrits dans des
dispositifs de formation à distance relativement
hétéro-structurés (Jézégou, 2011), (Jézégou, 2013) :
ils se conformaient et s’ajustaient aux conditions imposées
d’apprentissage (notamment spatio-temporelles, pédagogiques et de
la communication éducative médiatisée) ;
parallèlement, ils créaient des conditions
informelles3 à la marge des dispositifs institués pour répondre à
un besoin d’autodétermination. Dès lors, leur environnement
personnel d’apprentissage intégraient à la fois des
conditions imposées par le contexte éducatif institué et
des conditions informelles créées grâce à leur
agentivité personnelle. Ainsi, le périmètre de leur
environnement personnel d’apprentissage intégrait et
dépassait à la fois celui plus restreint et circonscrit par le
dispositif institué de formation. L’ampleur de ce
périmètre dépendait de la puissance avec laquelle
s’exprimait leur agentivité individuelle (niveau
d’autodétermination et d’efficacité des
stratégies d’autorégulation réactive).
L’environnement « choisi » découle, quant
à lui, de la décision que le sujet prend face à plusieurs
options possibles, cela au plan professionnel, social, amical ou encore
éducatif. En formation, l’environnement
« choisi » peut résulter du choix opéré
par l’apprenant entre plusieurs organismes ou établissements
(prestataires de formation), cursus universitaires, modalités de
formation (en présentiel, à distance ou mixte), etc. Ce choix est
notamment issu d’une évaluation cognitive des options possibles au
regard de leur pertinence respective pour atteindre le but qu’il
s’est fixé. Il peut également résulter d’une
évaluation des avantages et inconvénients de chacune de ces
options mais aussi des ressources
personnelles4 dont il dispose et de
ses contraintes5. Dans tous les cas,
l’apprenant manifeste alors des conduites autodéterminées
car il est à l’origine du choix opéré ; ce qui
traduit une forme d’agentivité individuelle. Si
l’environnement est « choisi » par l’apprenant
lui-même, cela ne présuppose pas pour autant que ce dernier puisse
modifier ou en faire évoluer la structure. Ainsi, l’engagement dans
un environnement est certes lié à un choix
autodéterminé mais cet environnement peut comporter une structure
rigide offrant peu de marge de manœuvre car « imposée
». Les conduites qui en découlent ont été
décrites précédemment. Une autre forme
d’environnement « choisi » peut résulter
d’un agencement proactif, par l’apprenant lui-même, de
conditions favorables à ses apprentissages en fonction de son propre
projet (autodétermination). Ces conditions peuvent être tout
à la fois spatio-temporelles, pédagogiques ou liées
à la communication éducative médiatisée. Un
agencement « proactif », car il ne se fait pas en
réaction à des contraintes instituées qui entravent
l’atteinte des résultats souhaités ; il se
réalise de façon davantage autodéterminée par la
mise en œuvre volontaire d’un plan finalisé d’actions
dont l’apprenant en contrôle ensuite la conduite et en évalue
les effets (autorégulation proactive), tout en s’appuyant sur la
croyance en sa capacité à le mener à bien. En contexte
institué de formation, un tel agencement proactif peut être
possible dans la mesure où le dispositif de formation offre à
l’apprenant des libertés de choix et d’action pour structurer
lui-même son environnement d’apprentissage. L’ampleur du
périmètre de l’EPA qui en résulte dépend
d’une part, du degré de liberté de choix offert à
l’apprenant par le dispositif de formation et d’autre part, de la
puissance de son agentivité individuelle pour se saisir de ces
libertés (autodétermination) et développer des
stratégies efficaces d’autorégulation proactive (Jézégou, 2011), (Jézégou, 2013).
En contexte informel, ce type d’environnement renvoie à des
situations d’autodidaxie également élaborées par un
agencement proactif de conditions environnementales propices aux apprentissages
en dehors de tout cadre éducatif institué.
Le troisième et dernier type d’environnement est qualifié
de « construit ». Selon la théorie sociale cognitive,
les sujets ne sont pas uniquement situés dans un environnement ou un
espace social. Ils participent également à la construction
de ce dernier par des efforts personnels. En formation, l’environnement
d’apprentissage peut être « construit »
conjointement par l’apprenant et les formateurs (ou enseignants) par
l’élaboration de parcours individualisés de formation et la
co-structuration des situations d’apprentissage, chacune des parties en
présence disposant de ses propres ressources et contraintes. Il peut
aussi être construit avec les pairs notamment dans le cadre d’un
projet collectif en développant une démarche de coopération
ou de collaboration visant un but partagé. Dans tous les cas,
l’apprenant peut mettre en œuvre son agentivité et
exercer ainsi un contrôle intentionnel sur l’agencement proactif de
son propre environnement personnel d’apprentissage, cela au travers de ses
transactions avec les autres. Cet agencement intègre des conditions
d’apprentissage co-construites grâce à des interactions
d’expression des points de vue, de négociation, d’ajustement
mutuel et de délibération (Jézégou, 2012).
L’environnement personnel d’apprentissage dispose alors d’un
périmètre spécifique à chacun, mais tout ou partie
construit avec les autres.
En résumé, l’agentivité individuelle
s’exprime par une forme d’auto-ingénierie d’un
environnement personnel d’apprentissage, dont les forces motrices
relèvent de l’autodirection en formation.
« Personnel » parce que cet EPA matérialise un lieu
de « vouloir et de pouvoir » : un lieu où
l’apprenant prend intentionnellement le contrôle de sa formation en
disposant/agençant des conditions optimales pour apprendre par
lui-même et en interaction avec les autres.
Ces conditions sont spatio-temporelles, éducatives et/ou
technologiques ; elles peuvent être, selon les cas, toutes à
la fois imposées, choisies et co-construites. En contexte éducatif
instrumenté, un tel agencement peut être constitué de
nombreux supports et médias différents : ordinateur portable,
tablette, téléphone sans fil, vidéo, audio, texte,
photographie, etc. En même temps, il peut combiner une multitude de
services et d’outils : courriel, messagerie écrite et/ou orale
instantanée, vidéo, portfolio, blog, wiki, traitement de texte en
ligne, échanges de signets, concentrateur de flux RSS, etc. Cet
agencement varie d’un sujet à l’autre en fonction de ses
objectifs de formation, de ses intérêts professionnels et
personnels, de son niveau d’acculturation aux technologies. Il n’est
pas figé : il évolue dans le temps selon les changements
liés à l’ensemble de ces différents aspects. Les
possibilités d’agencement sont telles que la tentation peut
être grande d’assimiler un EPA à la structure technique
singulière qui en résulte. Mais cette assimilation directe tend
à déposséder les technologies de leur simple statut
d’objets techniques pour alimenter à elles-seules
l’imaginaire collectif sur les EPA. Une telle centration techniciste tend
à évacuer la nécessaire agentivité individuelle dont
le sujet doit faire preuve. Par conséquent, elle ne prend pas en compte
les mécanismes psychologiques en jeu, tels que décrits
précédemment, dans l’élaboration de son propre
environnement d’apprentissage. De plus, elle met de côté le
rôle fondamental joué par une autre forme
d’agentivité : celle dite « collective ».
2. Agentivité collective et EPA
Selon la théorie sociale cognitive, les
mécanismes à l’œuvre dans l’agentivité
individuelle sont transposables à l’agentivité collective (Bandura, 2003), (Bandura, 2006).
Ainsi, l’agentivité collective opère par
l’intermédiaire d’un but commun et d’une croyance
partagée en termes d’efficacité collective ; elle
permet de transformer l’environnement plutôt que de s’y
adapter ou de s’y ajuster collectivement ; elle permet
également de générer des communautés et de les
développer par un effort collectif orienté vers le but
partagé.
Cette notion de communauté est régulièrement
évoquée dans les discours sur les environnements personnels
d’apprentissage, plus spécifiquement sur les EPA ayant recours
à l’usage des outils de communication et de collaboration à
distance6. Mais, ces discours
évoquent rarement l’agentivité collective qui permet
l’émergence et le développement d’une
communauté d’apprentissage en ligne. Or, ce type de
communauté peut constituer une dimension socio-éducative
essentielle d’un EPA.
2.1. Communauté d’apprentissage en ligne
Une communauté est souvent confondue à un groupe d’amis
et/ou à un groupe formel. Ces deux formes d’organisation sociale
sont différentes de celle d’une communauté (Dillenbourg et al., 2003).
Un groupe d’amis n’est pas finalisé ; il ne
possède pas forcément de règles de participation et de
fonctionnement. Chacun y adhèrent de façon volontaire par
affinités personnelles avec les autres. Toutefois, il peut constituer un
réseau d’entre-aide et de soutien en fonction des demandes et/ou
des besoins de chacun de ses membres. C’est notamment une des raisons pour
lesquelles les sujets peuvent les intégrer dans leur EPA via des
plateformes logicielles de réseaux
sociaux7. Un groupe formel est, quant
à lui, créé à l’initiative d’une
personne. Il peut s’agir d’un supérieur hiérarchique,
d’un expert, d’un formateur ou encore d’un collègue.
Cette personne prédétermine les buts à atteindre, le nombre
de personnes constituant le groupe ainsi que leurs caractéristiques et
les choisit en fonctions des besoins identifiés. Le fonctionnement du
groupe ainsi constitué s’appuie généralement sur une
logique de coopération : c'est-à-dire sur une structuration
de l’activité en différentes tâches, une division du
travail et des responsabilités au sein du groupe. Les interactions y sont
dominées plus ou moins fortement par un membre du groupe à
différentes séquences d’élaboration de
l’activité.
Une communauté renvoie à une organisation flexible
orientée vers un but partagé par ses membres. Ils s’unissent
pour construire une expérience collective, tout en poursuivant leurs
propres objectifs personnels. De cette co-construction résulte
progressivement une micro-culture partagée autour de valeurs, de
pratiques, de règles conversationnelles ou encore de comportements (Dillenbourg et al., 2003), (Henri et Ludgren-Cayrol, 2001), (Preece et Maloney-Krichmar, 2003).
Une communauté s’organise autour d’un espace commun
d’interactions et de partages principalement basé sur une logique
de collaboration. Une telle logique se caractérise notamment par
l’égalité des statuts des membres du groupe et leur
participation aux interactions, ainsi que par le fait qu’ils mènent
conjointement des activités définies ensemble. De plus, ils
s’y engagent activement et ont accès à des ressources
partagées, tout en assurant la réciprocité des
informations, des soutiens et des services (Daele, 2013), (Dillenbourg et al., 2003), (Henri et Lungren-Cayrol, 2001).
Une communauté d’apprentissage, en ligne ou non, possède
l’ensemble des grandes caractéristiques d’une
communauté au sens large. Elle peut être définie comme
« un groupe de personnes, membres volontaires aux expertises
diverses et d’égale valeur, engagées conjointement dans une
démarche collaborative de résolution d’une situation
problématique ; cette démarche facilitant la construction
individuelle et collective de connaissances » (Jézégou, 2012).
Par résolution d’une situation problématique, on entend
ici : conduire un projet, réagir à un évènement
ou encore apporter une réponse à un problème. Au plan
théorique, deux conceptions de la collaboration sont
généralement mises en avant, cela en lien avec
l’apprentissage (Baudrit, 2008), (Damon et Phelps, 1989), (Jézégou, 2012).
La première est dite « constructive » : elle
estime que c’est essentiellement par le dialogue entre les membres du
groupe et le partage de leurs savoirs, mais aussi par la coordination de leurs
actions qu’ils parviennent à construire de nouvelles connaissances.
Cette conception est promue par le courant socio-constructiviste issu des
recherches en psychologie culturelle en Amérique du Nord. La seconde
conception de la collaboration est qualifiée de
« contradictoire » : elle insiste sur le rôle
positif joué par la confrontation des points de vue divergents dans les
apprentissages. Cette conception est soutenue par la théorie du conflit
socio-cognitif issue de l’approche dite « européenne
» du socio-constructivisme et développée par la psychologie
sociale du développement cognitif (Bourgeois, 1999), (Darnon et al., 2008), (Doise et Mugny, 1997), (Perret-Clermont et Nicolet, 2002).
Selon la conception retenue, les interactions collaboratives ne sont pas
appréhendées de la même manière pour expliquer leurs
effets sur l’élaboration d’une communauté
d’apprentissage. Toutefois, dans les deux cas, lorsque l’on se
réfère à la théorie sociale cognitive, cette
communauté peut être considérée comme un
environnement « construit » conjointement par ses membres.
Encore faut-il que le groupe fasse preuve d’une agentivité
collective qui, elle-même, nécessite une agentivité
individuelle de chacun de ses membres.
2.2. Présence en e-learning et EPA
Comme souligné précédemment, une communauté
d’apprentissage en ligne est un environnement co-construit par ses
membres, notamment grâce à leur agentivité collective. Une
telle agentivité permet au groupe de se fixer un but
partagé : celui de résoudre une situation
problématique. Elle se traduit par l’effort déployé
ensemble pour atteindre ce but. Cet effort consiste à définir des
modalités de fonctionnement de la collaboration à distance,
à adopter et à conduire une démarche conjointe et commune
de résolution de la situation problématique. Il porte
également sur la mise à l’épreuve les
résultats issus de cette démarche, l’évaluation de
l’atteinte de ces résultats ou encore l’explicitation des
éléments de satisfaction collective. Cet effort collectif consiste
aussi à réaliser des bilans intermédiaires, à mettre
en place des processus de régulation des activités à mener,
à construire une production collective. Il nécessite de croire en
l’efficacité du groupe à mener à bien
l’ensemble de ces activités, cela dans un contexte
instrumenté techniquement et de communication médiatisée
à distance.
Ces quelques éléments montrent la manière dont se
manifeste l’agentivité collective dans la construction d’une
communauté d’apprentissage en ligne. Mais ils ne permettent pas de
caractériser les interactions sociales que sous-tend l’exercice
d’une telle agentivité. Plusieurs travaux dans le domaine du e-learning contribuent à apporter des réponses (Garrison et Anderson, 2003), (Garrison et Arbaugh, 2007), (Garrison et al., 2010), (Jézégou, 2012), (Kawachi, 2011).
Ils défendent ensemble la position selon laquelle certaines formes
d’interactions entre les apprenants permettent de créer
« une présence à distance » au sein d’un
espace numérique de communication, cela malgré
l’éloignement géographique et donc la séparation
physique ; cette présence favorise à son tour la construction
d’une communauté d’apprentissage en ligne. A ce jour, le
phénomène de la présence en e-learning a fait
l’objet de deux principales modélisations théoriques. La
première est directement liée aux recherches sur le modèle
de community of inquiry in e-learning (Garrison et Anderson, 2003).
De la deuxième modélisation résulte le modèle de la
présence en e-learning (Jézégou, 2012).
Les fondements épistémologiques de ces deux modèles sont
différents. Par conséquent, ils n’appréhendent pas la
présence de la même manière ; ils caractérisent
différemment les interactions sociales qui permettent de créer une
présence en e-learning.
Le modèle de community of inquiry in e-learning s’appuie
sur la psychologie culturelle liée à la collaboration dite
« constructive » ainsi que sur le courant philosophique du
pragmatisme porté par Lipman. Le pragmatisme définit une community of inquiry (communauté d’enquête) comme un
groupe de personnes, membres volontaires aux expertises diverses et
d’égale valeur, engagées conjointement dans une pratique
d’enquête visant à résoudre conjointement une
situation problématique. La pratique d’enquête peut
être assimilée à une démarche collaborative qui
s’appuie notamment sur la formulation d’hypothèses de
résolution, le choix de l’hypothèse la plus pertinente, la
mise à l’épreuve de l’hypothèse retenue et
l’évaluation des résultats obtenus (Dewey, 1938), (Dewey et Bentley, 1949), (Favre, 2006). Le
modèle de community of inquiry in e-learning attribue notamment
deux dimensions à la
présence8 : (1) cognitive
et (2) sociale. Selon (Garrison et Anderson, 2003),
la présence cognitive renvoie à « l’ampleur
à laquelle les participants sont capables de construire et de confirmer
le sens grâce à la réflexion et au dialogue pour
résoudre une situation problématique et se constituer en
communauté
d’enquête »9. La présence sociale porte, quant à elle, sur « la
capacité des participants d’une communauté
d’enquête à se projeter socialement et
émotionnellement, dans toutes les dimensions de leur personnalité,
au travers du média de communication qu’ils
utilisent »10 (Garrison et al., 2000).
Le modèle de la présence en e-learning est
différent du précédent. Il s’ancre à la fois
dans la théorie du conflit socio-cognitif liée à la
collaboration de type « contradictoire » et dans le courant
du pragmatisme initié Dewey. Il décline notamment cette
présence en deux dimensions spécifiques et distinctes de celles
proposées par le modèle de community of inquiry in
e-learning. Il s’agit des présences socio-cognitive et
socio-affective11. « La
présence socio-cognitive en e-learning
est générée par les transactions existantes
entre les apprenants pour mener conjointement les activités
nécessaires à la résolution d’une situation
problématique au sein d’un espace numérique de
communication » (Jézégou, 2012).
Les transactions sont des interactions sociales d’expression des
convergences et des divergences, de confrontation de points de vue,
d’ajustement mutuel, de négociation et de
délibération qui témoignent d’une collaboration
à distance entre les apprenants au sein d’un espace
numérique de communication (Jézégou, 2012).
Elles contribuent à la construction individuelle et collective de
connaissances (Dewey et Bentley, 1949), (Favre, 2006), (Jézégou, 2012).
La conception de la collaboration privilégiée ici est celle dite
« contradictoire ». La présence
« socio-cognitive » ainsi générée peut
être favorisée par une autre forme de présence : la
présence « socio-affective ». Elle
« résulte de certaines formes d’interactions qui
permettent de créer un climat socio-affectif favorable aux
transactions ; ces interactions sont notamment basées sur la
symétrie de la relation et l’aménité » (Jézégou, 2012).
L’effet combiné de ces deux présences - socio-cognitive et
socio-affective - est de favoriser la construction d’une communauté
d’apprentissage en ligne (Jézégou, 2012).
Bien que différents l’un de l’autre, les deux
modèles offrent respectivement une perspective théorique qui
permet de caractériser les interactions sociales que sous-tend
l’exercice de l’agentivité collective, plus
particulièrement en contexte de e-learning. Dans les deux cas, les
interactions sociales - ainsi caractérisées - permettent de
créer une présence qui, à son tour, favorise
l’émergence et le développement d’une
communauté d’apprentissage en ligne. Au regard de la théorie
sociale cognitive, une telle communauté peut être
considérée comme un environnement co-construit grâce
à l’agentivité collective de ses membres. En même
temps, il peut être un des leviers constitutifs essentiels de
l’environnement personnel d’apprentissage de chacun
d’entre-eux.
Conclusion
Les technologies et services numériques
offrent des possibilités croissantes d’élaboration, par les
sujets eux-mêmes, d’environnements personnels d’apprentissage.
Ces EPA, instrumentés techniquement, constituent un champ de pratiques
encore récent dans le domaine de la formation des adultes et des plus
jeunes que ce soit en contexte éducatif formel ou informel. Par
conséquent, la recherche associée à ce champ ne peut
être que relativement nouvelle. D’une manière
générale, la recherche nécessite du temps pour produire,
valider et capitaliser de nouvelles connaissances, par un va et vient constant
entre élaboration de construits théoriques et mise à
l’épreuve de travaux empiriques. Les EPA, en tant que champ
d’investigation scientifique, n’échappent pas à ces
phénomènes temporels. Il n’est donc pas étonnant
qu’ils souffrent encore aujourd’hui d’un manque
d’intelligibilité.
Le cadre théorique d’analyse et d’interprétation
présenté dans cet article contribue aux travaux
scientifiques qui permettent notamment de remédier à cette
situation. Sa spécificité est d’appréhender les EPA
sous l’angle de l’agentivité humaine. Une telle
agentivité est considérée ici comme un moteur essentiel
pour l’élaboration des EPA. Le cadre théorique
proposé est ancré dans la théorie sociale cognitive,
paradigme dominant de l’agentivité humaine. Il mobilise et articule
des dimensions liées au concept d’autodirection, à la notion
de collaboration et celle de communauté d’apprentissage en ligne ou
encore de présence en e-learning. Les articulations
opérées permettent notamment d’expliquer les
mécanismes de l’agentivité - tant au plan individuel que
collectif - en lien avec l’élaboration des EPA. Ces articulations
sont loin d’être exhaustives tant l’agentivité humaine
est complexe à appréhender et recouvre de nombreuses et subtiles
dimensions.
Aussi, le cadre théorique qui résulte de ces articulations doit
être considéré comme un construit à visée
heuristique et épistémique. Il ouvre la voie à des
perspectives de recherche sur les EPA, en invitant notamment la
communauté scientifique du domaine à le mettre à
l’épreuve de travaux empiriques.
BIBLIOGRAPHIE
ALBERO B. (2010). La formation
en tant que dispositif : du terme au concept. Dans CHARLIER B., HENRI F.
(dir). La technologie de l’éducation : recherches, pratiques et
perspectives. Paris, PUF, 47-59.
AZAIS C., CORSANI A., DIEUAIDE P. (2003). Vers un
capitalisme cognitif. Entre mutation du travail et territoires. Paris,
L’Harmattan.
BANDURA A. (1986). Social Foundationd of though and
action : a social cognitive theory. Englewood Cliffs, Prentice-Hall.
BANDURA A. (1999). Social cognitive Theory of
Personality. In PERV J., JOHEN O (eds). Handbook of Personnality.
Gildford.
BANDURA A. (2003). Auto-efficacité. Le sentiment
d’efficacité personnelle. Bruxelles, De Boëck.
BANDURA A. (2006). Toward a psychology of human agency. Perspectives on psychological sciences, vol 1 (issue 2), 164 - 180.
BAUDRIT A. (2008). L’apprentissage
collaboratif : plus qu’une méthode collective ? Bruxelles,
De Boëck.
BOURGEOIS E. (1999). Interactions sociales et performance
cognitive. Dans : CARRE P., CASPAR P. (dir). Traité des sciences
et techniques de la formation. Paris, Dunod, 301 - 316.
BOUTINET JP. (2004). Vers une société
des agendas, Une mutation des temporalités Paris, PUF
BURNS T.R., DIETZ T. (2000). Human agency and
evolutionary process : institutional dynamics and social revolution. in :
WITTROCK B. (eds). Agency in social theory. Thousand oaks, ca,
sage.
CARRé P., CHARBONNIER O. (2003). Les
apprentissages professionnels informels. Paris, L’Harmattan.
CARRE P. (2003). La double dimension de
l’apprentissage autodirigé, Contribution à une
théorie du sujet social apprenant. Revue Canadienne pour
l’étude de l’éducation des adultes, Disponible sur internet.
CARRE P. (2005). L’apprenance. Vers un nouveau
rapport au savoir. Paris, Dunod.
CONSEIL DE L’UNION EUROPEENNE. (2000). Vers une
Europe de l’innovation et de la connaissance. Site du Parlement
Européen : Disponible sur internet.
COSNEFROY L. (2011). L’apprentissage
autorégulé. Grenoble, PUG.
DAELE A. (2013). Discuter et débattre pour se
développer professionnellement : analyse compréhensive de
l'émergence et de la résolution de conflits sociocognitifs au sein
d'une communauté virtuelle d'enseignants du primaire. Université
de Genève. Thèse.
DAMON W., PHELPS E. (1989). Critical distinctions among
three approaches to peer education. International Journal of Educational
Research, USA, vol 3, no 1, 9 - 19.
DARNON C., BUTERA F., MUGNY G. (2008). Des conflits
pour apprendre. Grenoble, PUG.
DECI E., RYAN R. (2007). Favoriser la motivation optimale
et la santé mentale dans les divers milieux de vie. Canadian
Psychology, 49, 24 - 34.
DEWEY J. (1938). The theory of Inquiry. USA, Henry
Holtand Compagny.
DEWEY J., BENTLEY A.F. (1949). Knowing and the known. In
: BOYDSTON A. (1989). John Dewey : the later works. 1925 - 1953.
Carbondale, Southern Illinois University Press, vol 16.
DILLENBOURG P., POIRIER C., CARLES L. (2003).
Communautés virtuelles d’apprentissage : e-jargon ou nouveau
paradigme ? ». Dans : TAURISSON A., SENTINI A. (dir). Pédagogie.net. Montréal, Montréal Presses, 11 - 48.
DOISE W, MUGNY G. (1997). Psychologie sociale et
développement cognitif. Paris, Armand Colin
DUMAZEDIER J. (2002). Penser
l’autoformation : société d’aujourd’hui et
pratiques d’autoformation. Lyon, Chronique sociale.
FAVRE M. (2006). Qu’est-ce que la
problématisation ? L’apport de Dewey. Dans : FAVRE M,
VELLAS E. (dir). Situations de formation et problématisation.
Bruxelles : De Boeck, 17 – 30.
GAGNE M., DECI E. (2005). Self-determination theory
and work motivation. Journal of Organizational Behavior, 26, 331-362.
GARRISON D.R., ANDERSON T. (2003). E-learning in
the 21st Century. A Framework for Research and Practice. New
York, Routledge.
GARRISON D.R., ARBAUGH, J.B. (2007). Researching the
Community of Inquiry Framework : review, issues, and future directions. The
internet and Higher Education, 10 (3), 157 - 172.
GARRISON D.R., ANDERSON T., ARCHER W. (2010). The first
decade of the Community of Inquiry framework : a retrospective. Internet
and Higher Education, 13, 5 - 9.
HENRI F., LUNDGREN-CAYROL K. (2001). Apprentissage
collaboratif à distance. Sainte Foy, Presses Universitaires du
Québec.
HRIMECH M. (1996). L’apprentissage informel : voie
royale de l’autoformation. Les sciences de l’éducation
pour l’ère nouvelle, 29, 217-239.
JEZEGOU A. (2005). Formations ouvertes :
libertés de choix et autodirection de l’apprenant. Paris :
L’Harmattan.
JEZEGOU A., CARRE P.; FRETIGNE C., JORE M., KAPLAN J.
(2011). Autodirection dans la formation et carrière. Carriérologie, 12 (1) et (2), 73-89.
JEZEGOU A. (2011). Se former à distance :
regard sur les stratégies d’autorégulation environnementale
d’étudiants adultes. Savoirs, Revue Internationale de Recherches
en Education et Formation d’Adultes, n°24, 79 – 99.
JEZEGOU A. (2012). La présence en e-learning :
modèle théorique et perspectives pour la recherche. Journal of
Distance Education / Revue de l’Education à Distance. 26(1), Disponible sur internet.
JEZEGOU A. (2013). The influence on the openness of an
e-learning situation on adult students’self-regulation. International
Review of Research on Open and Distance Learning, 14(2). Disponible sur internet.
KAWACHI P. (2011). Unwrapping Presence: Exploring the
terms used for virtual presence in online education. Distances et
Savoirs, 9(4),
KNOWLES M. (1975). Self-directed learning: a guide for
learners and teachers. New York, Association Press.
LAGUARDIA J., RYAN R. (2000). Buts personnels, besoins
psychologiques fondamentaux et bien être : théorie de
l’autodétermination et application. Revue
Québécoise de Psychologie, 21(2), 281 - 303.
LEVY M., JOUYET JP. (2006). L’économie de
l’immatériel. La croissance de demain. Paris, Rapport de la
commission sur l’économie de l’immatériel.
NEUBERG L., NEWSON J. (1993). Personal Need for
Structure: Individual Differences in the Desire for Simple Structure. Journal
of Personality and Social Psychology, 65 (1), 113-131.
PERRET-CLERMONT A.N., NICOLET M. (2002). Interagir et
connaître. Enjeux et régulations sociales dans le
développement cognitif. Paris, L’Harmattan.
PONTON M. K. (2009). An agentic perspective constrasting
autonomous learning with self-directed learning. In : DERRICK M.G. and PONTON
M.K (Eds.). Emerging directions in self-directed learning. Chicago, IL:
Discovery Association Publishing House, 65-76.
PONTON M.K., CARR P.B. (2012). Autonomous learning and
triadic reciprocal causation : a theoretical discussion. International
Journal of Self-Directed Learning, 9(1), 1-10.
PREECE J., MALONEY-KRICHMAR D. (2003). Online
communities: focusing on sociability and usability. In : JACKO J. and SEARS A.
(Eds.). Handbook of Human-Computer Interaction. Mahwah, Lawrence
Erlbaum Associates, 596-620.
SCHUNK D.H., ZIMMERMAN B. (2007). Motivation and Self
- Regulated Learning. New York, Lawrence Erlbaum Associates Inc.
TREMBLAY N.A. (2003). L’autoformation pour
apprendre autrement. Montréal, Presses de l’Université
de Montréal.
VALLERAND J.R., CARBONNEAU N., LAFRENIERE MC. (2009). La
théorie de l’autodétermination et le modèle
hiérarchique de la motivation intrinsèque et extrinsèque.
Dans : CARRE P., FENOUILLET F. (dir). Traité de psychologie de la
motivation. Paris, Dunod, 47-66.
ZIMMERMAN B. (2007). Goal setting : a key proactive
source of academic self-regulation. In SCHUNK D.H., ZIMMERMAN B. (eds). Motivation and Self - Regulated Learning. New York, Lawrence Erlbaum
Associates Inc, 267-295.
A
propos des auteurs
Annie Jézégou est Professeur des
Universités en sciences de l'éducation à
l'Université des Sciences et Technologies de Lille 1. Elle dirige
l'équipe de recherche Trigone-Cirel (EA 4354)
spécialisée en formation des adultes. Suite à une
expérience professionnelle comme chef de projet en FOAD en cabinet
conseil, elle a exercé pendant plusieurs années les fonctions de
chercheur à l'Institut Mines-Télécom avant
d'intégrer l'Université de Lille 1. Ses travaux théoriques
et empiriques contribuent à modéliser les environnements
numériques de formation favorables à l'exercice et au
développement de l'autodirection de l'apprenant. Ils portent notamment
sur les effets de l'ouverture de ces environnements, de la collaboration
à distance ou encore de la présence en e-learning sur cette
autodirection
Adresse : Université Lille 1.
Cité scientifique. Batiment B6, rue Elisée Reclus. 59 655
Villeneuve d'Ascq. France.
Courriel : annie.jezegou@univ-lille1.fr
1 Le terme
« e-learning » est pris ici au sens de
« l’apprentissage en ligne ».
2 Ces conditions d’apprentissage
sont notamment organisationnelles, humaines, didactiques, spatio-temporelles,
technologiques et matérielles.
3 Plus spécifiquement des conditions
informelles dans la gestion des personnes-ressources extérieures au
dispositif (collègues de travail, amis, conjoints, enfants en
études, etc.), des outils de communication et de collaboration avec les
pairs (messagerie personnelle, forums et chats privés, outils de partage
de documents, etc.)
4 Financières, humaines,
matérielles, cognitives ou motivationnelles.
5 Familiales, professionnelles,
spatio-temporelles, etc.
6 tels que des « chats »,
de la web-téléphonie, des classes virtuelles, des messageries, des
forums, des wikis, etc.
7 exemples : Facebook, Linkedin, Viadeo,
etc.
8 Ce modèle avance
également une 3e dimension de la présence. Il s’agit de la
présence éducative : elle résulte des interactions que
le formateur entretient avec les apprenants dans « la conception,
la facilitation et la direction des processus cognitifs et sociaux pour
atteindre des résultats d’apprentissage personnellement
significatifs et intéressants d’un point de vue
éducatif » (Garrison et Anderson, 2003),
traduction libre. Elle n’est pas présentée dans cet article,
car elle n’est pas directement liée à
l’agentivité collective.
9 Traduction libre
10 Traduction libre
11 Ce modèle attribue
également une 3e dimension à la présence en e-learning. Elle n’est pas présentée dans cet
article, car elle n’est pas directement liée à
l’agentivité collective. Il s’agit de la présence
pédagogique : elle « résulte des interactions
sociales de coordination, d’animation et de modération que le
formateur (ou enseignant) entretient avec le groupe d’apprenants au
sein d’un espace numérique de communication» (Jézégou, 2012).
 |